Личность

Ядро клетки: функции и структура

Ядро клетки: функции и структура

Ядро клетки – центральный органоид, один из самых важных в системе. Наличие его в клетке является признаком высокой организации организма. Клетка, имеющая оформленное ядро, называется эукариотической. Прокариоты – это организмы, состоящие из клетки, не имеющей оформленного ядра. Далее в статье будет более подробно рассмотрено ядро клетки, функции, которые оно выполняет, его структура.

Медаль

Медаль "За победу над Германией в Великой Отечественной войне 1941-1945 гг"

Медаль "За победу над Германией" была самой массовой наградой, ее кавалерами стали почти 15 миллионов человек. И это понятно, практически в каждой советской семье был тот, кто приближал победу все четыре года.

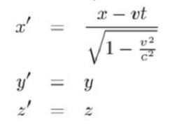
Специальная теория относительности. Специальная и общая теория относительности Эйнштейна

Специальная теория относительности. Специальная и общая теория относительности Эйнштейна

После того как математики создали правила в пространстве понятий и чисел, ученые были уверены, что им остается лишь ставить эксперименты и с помощью логических построений объяснять устройство всего сущего. В разумных пределах законы математики работают. Но эксперименты, выходящие за рамки ежедневных понятий и представлений, требуют новых принципов и законов.

Радиоактивный химический элемент. Искусственный радиоактивный элемент

Радиоактивный химический элемент. Искусственный радиоактивный элемент

До конца XIX века все химические элементы казались постоянными и неделимыми. Не возникало вопроса о том, как можно преобразовать неизменяемые элементы. Но открытие радиоактивности перевернуло известный нам мир и проложило путь к открытию новых веществ.

Что такое имя нарицательное и собственное

Что такое имя нарицательное и собственное

Множество существительных, обозначающих лица, предметы и явления, принято классифицировать в соответствии с объектом именования – так появилось разделение на имя нарицательное и имя собственное.

Молитвы в день рождения. Молитва Ангелу Хранителю

Молитвы в день рождения. Молитва Ангелу Хранителю

Жизнь человеку дана не для праздных гуляний и развлечений. Это время на Земле нам дается для того, чтобы мы думали о жизни вечной и подготовились к ней должным образом. Самые подходящие дни - это и есть дни рождения и именины. Это такие личные праздники, когда человек начинает задумываться над тем, для чего он живет, что он в жизни значит и чего добился.

Кто такая богиня Кали? Легенда о богине Кали. Индийская мифология

Кто такая богиня Кали? Легенда о богине Кали. Индийская мифология

Индийские мифы о богах, в отличие от античных, до сих пор остаются малоизвестными, и большинство европейцев не имеют о них ни малейшего представления. Интересно, что такие легенды являются не обычными рассказами, а настоящими эпосами, в правдивость которых свято верят истинные индусы.

Геостационарная орбита. Искусственные спутники Земли

Геостационарная орбита. Искусственные спутники Земли

Статья расскажет об индивидуальных параметрах геостационарной орбиты. Опишет возможности и особенности искусственных спутников.

Как разлюбить человека, который тебя не любит? Правила безболезненного разрыва отношений

Как разлюбить человека, который тебя не любит? Правила безболезненного разрыва отношений

Любовь – чувство странное, эфемерное, непонятное. Его воспевали поэты древности и современности, оно спасало жизни и разрушало государства. В разные эпохи отношение к любви было различным.

Сколько в году дней. Сколько праздничных, учебных, рабочих дней в году

Сколько в году дней. Сколько праздничных, учебных, рабочих дней в году

В данной статье хочется рассказать о том, сколько в году дней насчитывает календарь. А также о том, сколько дней придется учиться, работать, а сколько отдыхать, можно прочесть именно в данной статье.